WHY POWER-ON RESET IS REQUIRED
Written up for the Z80 processor, though same principal applies to others
Power-on instability is less of an issue with modern processors, but older or retro MPUs usually require a reset during startup. Many newer chips have this built in.
The reason is simple: the processor and the surrounding circuitry need time for voltages to stabilise. Components such as RAM and peripherals also need this settling period. If the processor starts too early, before everything is stable, it can crash immediately. At that point, a manual reset (if available) is needed to recover. The RESET signal also reinitialises the processor and sets the program counter to 0x00, where the Z80 begins execution.
The fix is to hold the MPU in reset for a short time at startup—specifically, for a minimum number of clock cycles—then release it once the system is stable.
The Z80 manual specifies at least three full clock cycles of RESET on startup.
THE BASIC RC RESET CIRCUIT
The typical solution is to use an RC delay circuit, combined with a Schmitt trigger gate (usually an inverter). The RC network holds the RESET line low for a short period (in an active-low configuration), then allows it to rise high. For active-high reset systems, the logic is reversed. This method is commonly known as a “soft start”.

- RED
- - Voltage of the Reset Line
- BLUE
- - Voltage drop over resistor

CALCULATING THE RESET DELAY
The Z80 datasheet says "The Reset must be pulled low for a minimum of 3 full clock cycles."
So how long do we need the delay to be? Well first we need to know the voltage the Z80 will consider 'High'. For that we need to look at the Z80 datasheet. According page 8 of the specification, the INPUT HIGH voltage is 2v. This kind of matches TTL logic levels which is between 2v and 2.7v.
So we need to keep the voltage below 2v for a least 3 clock cycles.
To know how long thee clock cycles are, we can calculate that. Assume the Z80 is running at 4Mhz. That will mean each clock period is 250ns.
The 3 clock cycles will be 250nS x 3 = 750nS. To be safe we can double that to 6 clock cycles which would then be 1.5uS (micro seconds).

In reality and especially with a homebrew PC or something where the start-up time is not critical, then the amount of time is really not that important as long as its over the 3 full clock cycles.
You can easily set a 100ms time just to be totally on the safe side.
The main thing to ensure is that the Reset line is kept below 2v for that duration. Lets work with a 100ms duration. Looking at the charge curve of a capacitor
CHOOSING PRACTICAL COMPONENT VALUES

As this is a 5v system, we cannot just use the RC5 calculation for the capacitor charge time. We need to calculate the RC time constant so that the voltage across the capacitor is <2v until 100ms.
What we need to calculate is what is the time constant to achieve a rise of up to 2v at 100ms when the source voltage is 5v?
From there we can pick a value for either R or C can calculate the other.
The maths around this might look a bit hairy but easy enough to plug into a calculator.
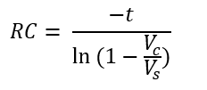
The equation to use is below and is derived from capacitor charge equation:
EQUATION

- RC
- = value or description
- t
- = time duration
- Vs
- = Voltage source
- Vc
- = Voltage over capacitor
- ln
- = Natural Log function
What we need to calculate is what is the time constant to achieve a rise of up to 2v at 100ms when the source voltage is 5v?
From there we can pick a value for either R or C can calculate the other. The maths around this might look a bit hairy but easy enough to plug into a calculator. The equation to use is below - This is derived from capacitor charge equation.
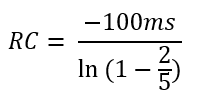
Now we plug in out parameters
t = 100ms
Vs = 5v
Vc = 2v

Putting that into the calculator we get an RC value of 0.196 (rounded off)
RC = 0.196

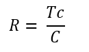
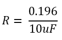
Now we can pick a value or either R or C. I'll pick a capacitor of 10uF
Rearrange the equation to solve for R:


Which gives a resistor value of 19.6kOhm
2V at 100ms - spot on! The voltage over the capacitor and hence the reset line will be below 2v for the 1st 100ms which is more than enough to get the circuits to settle.
If you need to stick to the 3 or 6 clock cycles then just use the time in the equation above. For instance the time value for 6 clock cycles is 1.5mS.
RC = 0.0029
This time we can select a 1uF capacitor
which gives a resistor value of 2.9k Ohms
again - spot on.


A lot of examples for the RC values for the Z80 are
R = 10k
C = 47uF
which will hold the Reset low for just over 75ms which is way more than enough time for the processor and circuitry to settle down.
IMPROVING RELIABILITY WITH A SCHMITT TRIGGER
However, while this will work, there are two other aspects.
1. The voltage rise is not a sharp change and its always possible that as it passes the threshold between low and high it might not be as stable as you might think. this will be more of an issue the longer the time span is.
2. Its important, usually, to have a reset button and buttons add their own instability in due to very noisy contacts.
The answer to both of the above is the addition of a Schmitt trigger gate. This will provide a stable and sharp state change as well as debounce the button.
A Schmitt trigger includes some hysteresis which sets a window between two voltages, essentially latching the state while the signal is within the window.
The Schmitt trigger will have an upper threshold and a lower threshold and its only when the signal passes through this threshold from the other threshold that the state will change. This ensure that any noise or instability is rooted out.
The graph below shows the that state only changes to LOW when the input voltage rises from below 2.7v to above it and then will only change to HIGH when the voltage passes 2.7v and goes though the lower threshold of 1.6V. This means that it does not mapper what happens between 1.6V and 2.7v, the state will not change and this makes the circuit much more stable.

Generally a Schmitt Inverter is used for this, but will invert the state, so we need to add another one set it back again. This is also useful as then you have two reset signals, one HIGH one LOW which can then be used for different chips that have different Reset Active states.
The final circuit would look like this for a 100ms power on reset:



0 Comments